Research Overview

Hong research focuses on epitaxial growth and fabrication of novel nanostructures and low dimensional systems using advanced physical vapor deposition and semiconductor device fabrication techniques; creating and imaging their local phase structures using scanning probe approaches; and studying how their transport, electronic and magnetic properties evolve with system dimensions. The materials systems of interest include the epitaxial ferroelectric and correlated oxide thin films and heterostructures, and low dimensional electron systems such as graphene and layered transition metal dichalcogenides.

We are looking for motivated graduate students to join us.

Complex Oxide Interfaces and Nanostructures Graphene and other 2D Electron Systems Scanning Probe Study of Ferroelectric Domains

Hao et al., Nat. Commun. (2023), featured in Nebraska Today [Link];

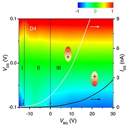
Chen et al., Adv. Mater. (2017);

Zhang et al., Appl. Phys. Lett. (2015)

 

Chen et al., Appl. Phys. Lett. (2022);

Chen et al., Adv. Mater. (2019)


Rajapitamahuni et al., Phys. Rev. Lett. (2016)

Li et al., Phys. Rev. Lett. (2024)

 

Wang et al., Adv. Sci. (2022)

 

Li et al., Phys. Rev. Lett. (2021), featured in Nebraska Today [Link]

 

Li et al., Adv. Mater. (2021)

 

Li et al., Nat. Commun. (2020), featured in Nebraska Today [Link]

 

Xiao et al., Phys. Rev. Lett. (2017), featured in Nebraska Today [Link]

 

Li et al., Adv. Mater. (2023)

 

Wang et al., ACS nano (2023)

 

Song et al., ACS Appl. Mater. & Interfaces . (2018)

 

Xiao et al., Appl. Phys. Lett . (2013)