Research


I. Epitaxial Growth and Fabrication of Complex Oxide Nanostructrues and Heterostrucutres

Rajapitamahuni et al., Phys. Rev. Lett. (2016)

 

Chen et al., Adv. Mater. (2017);

Hao et al., Nat. Commun. (2023)

 

Chen et al., Adv. Mater. (2018);

Chen et al., Appl. Phys. Lett. (2022)

 

Complex oxides exhibit a rich variety of electronic and magnetic properties. Famous members include the correlated oxides such as high temperature superconductors and colossal magnetoresistive oxides (CMR), ferroelectrics, and multiferroics. An even richer spectrum of behavior can be realized at the epitaxial interface between oxides with different functionalities. Our research focuses on controlling and manipulating of the electronic and magnetic property of complex oxide interfaces and nanostructures. Current projects include examining the interface magnetoelectric coupling between ferroelectrics and correlated oxides and tailoring magnetic anisotropy in magnetic oxides via doping, strain, and nanostructure engineering.


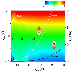
II. Interfacing Ferroelectrics with 2D Electron Systems: Graphene and Layered 2D Semiconductors
 

Xiao. et al., Phys. Rev. Lett. (2017)

Li et al., Nat. Commun. (2020)

Li et al., Adv. Mater. (2021)

Li et al., Phys. Rev. Lett. (2021)

Li et al., Phys. Rev. Lett. (2024)

 

We have interfaced two-dimensional van der Waals materials, including graphene, MoS2 and ReS2 with ferroelectric oxides and polymers to achieve nonvolatile modulation of the electrical and optical properties at the nanoscale. Examples include ferroelectric field effect modulation of quantum transport in graphene, nanoscale domain control of programmable junction state in MoS2, nonlinear optical filtering effect at the MoS2/Pb(Zr,Ti)O3 interface, and mapping the giant transpor anisotropy in ReS2.


III. Nanoscale Scanning Probe Studies of Ferroic Materials
   

Song. et al., ACS Appl. Mater. & Interfaces. (2018)

 

Wang. et al., ACS nano (2023)

 

Li. et al., Adv. Mater. (2023)

The nanoscale control of ferroelectrics is a powerful tool to induce local modulation in two dimensional electron systems. It also has a wide range of applications in nano-electronics. We have carried out nanoscale domain studies in ferroelectric oxide and polymer thin films, as well as emerging polar materials such as the hybrid perovskite and van der waals ferroelectrics, using atomic force and piezoresponse force microscopes. We have also searched for emergent charial spin textures in magnetic oxide thin films using magnetic force microscopy.