Archives

Systematics Studies of Rubidium Optical Pumping

This experiment was created to study how rubidium polarization is affected by changing the parameters of the optical pumping process. The results from this experiment will help us understand the characteristics of a different apparatus that can produce a beam of polarized electrons using polarized rubidium as a spin filter.

Apparatus

The apparatus is a 15 cm long stainless steel pipe with two 2 ¾” conflat windows at the ends. A solenoidal electromagnet encompasses the tube. We are able to control the pressure of various gases in the cell. The test cell has a base pressure of 1x10-4 Torr, produced with a diffusion pump. A diode array pump laser passes through a linear polarizer and a quarter-wave plate before entering the cell. A single diode probe laser is split with a plain glass beam splitter. After the beam splitter, a reference beam goes through a small Rb reference cell into a photodetector. The probe beam, aligned to pass through the cross section of the pump beam, exits the test cell and passes through a rotatable linear polarizer before entering another photodetector.

Theory

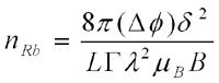
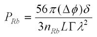
The measurements were made in the Rb test cell of length L = 15 cm. The pump beam is a 10 watt diode array laser operating at 795 nm, the D1 transition for Rb. A single diode laser, detuned by a frequency (delta) from the Rb D2 wavelength (lambda) of 780 nm, was used to measure the density and polarization, nRb and PRb, of the rubidium.

At large detuning and strong B fields, the optical rotation of linearly polarized light is dominated by the diamagnetic Faraday effect. Measuring the optical rotation associated with this effect yields the density

where capital gamma is the D2 natural linewidth and mu B is the Bohr magneton. At smaller detuning and lower B fields, the optical rotation is dominated by the paramagnetic Faraday effect, and yields

The process of depopulating one Rb state to another using electromagnetic radiation is called optical pumping. When our pump laser excites an atom's electron to the 5 P1/2, ms = +1/2 state, the atom can decay to either spin up or spid down ground states. If the electron decays to the spin down state, our laser will continue to excite the electron until it decays into the spin up state. The Rb atom then becomes optically transparent to the laser light.

Characteristics

We want to study how the polarization is affected when we change the temperature in the cell, the buffer gas pressure, the species of buffer gas, and wall coatings.

  • Emitted resonant radiation may hit other polarized atoms. The atoms are then said to be depolarized. This process is known as radiation trapping and can be prevented by quenching the excited state by transferring the energy to molecular vibrations of the buffer gas before the radiation depolarizes the Rb.
  • The buffer gas pressure broadens the Rb absorption line allowing more of the pump laser light to be used.
  • Rb polarization decreases with increasing Rb density. By wrapping the cell with aluminum foil and heater tape we can control the temperature of the cell and thus the vapor pressure of Rb.
  • If a polarized atom collides with the walls of the cell the atom is depolarized. The buffer gas controls the diffusion rate to the walls.
Results

Using argon, helium, hydrogen, and nitrogen we have made systematic measurements of Rb polarization versus buffer gas pressure at various Rb densities. Notice the argon and helium plots have similar shapes; they peak at relatively low pressures before declining.

The hydrogen graph does not seem to reach a maximum. Polarization data above gas pressures of 50 Torr is difficult to measure due to the pressure broadening of the Rb absorption line. Thus, hydrogen may reach a maximum and level off at pressures above 50 Torr.

We have found nitrogen to be the best buffer gas for polarizing Rb. It attains one hundred percent Rb polarization and levels off below 50 Torr, and is the most consistently reproducible data set.

A measurement of Rb polarization vs. density with no buffer gas was also made.

Future Experiments

In the future we plan to study the effects of coating the test cell with tetracontane, a component of paraffin. The tetracontane coating allows polarized Rb atoms to bounce off the walls several hundred to a thousand times without depolarizing. In theory, this should dramatically increase the Rb polarization

This project was funded by NSF Grant No. PHY-0099363 and UCARE

Archived: January 2020